考研数学:21个求极限的常用方法
2018/11/23 10:41:49
来源: 网络
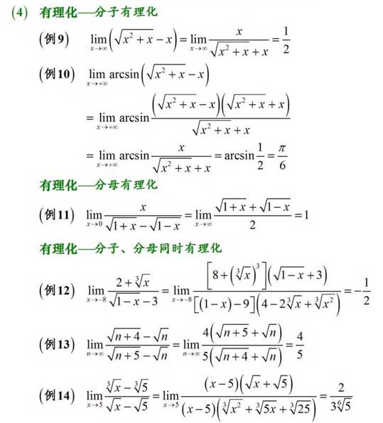
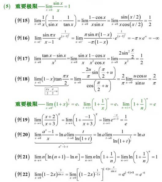
考研数学冲刺复习任务重,同学们在刷题的同时也要多做总结。海天考研为大家整理了考研数学冲刺的重点内容-求极限的21个方法,希望能够帮助大家。








下一篇:2019考研:数学二冲刺核心考点
热门推荐





