管理类联考数学公式大全(1)
2018/11/23 10:57:01
来源: 网络
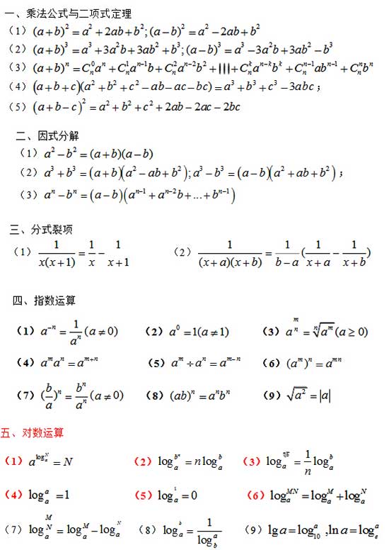
管理类联考数学基础部分考察四部分内容:算术、代数、几何和数据分析,海天考研为大家整理了联考数学的公式,一起来学习吧。


下一篇:管理类联考数学公式大全(2)
热门推荐





