2020考研高数复习重要公式(6)
2019/1/8 13:40:33
来源: 网络
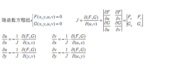
考研数学是考研拉开差距的科目,尤其是其中的高数部分,高数所占比重最大,2020考研的考生们多加重视,打好基础。海天考研为大家整理了高数的重要公式,仅供大家参考。


以上就是海天考研整理的高数公式,希望2020考研的小伙伴们熟练应用,打好基础。

热门推荐





