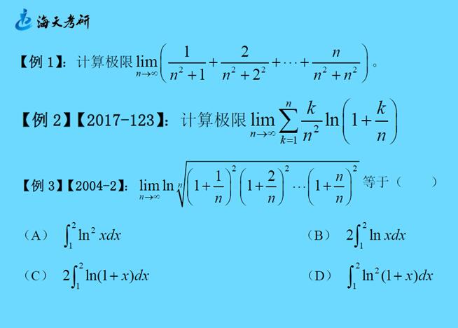
考研数学每日小课堂—第56课 定积分定义及如何利用定积分定义求极限
2019/4/10 10:33:30
来源: 海天考研
考研数学每日小课堂—第56课 定积分定义及如何利用定积分定义求极限



热门推荐





