首都体育学院2026考研调剂拟录取名单

发表时间:2026-04-15 10:44

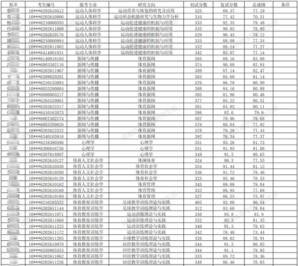
2027考研党注意了,考研择校重要的就是历年分数信息!首都体育学院公布2026年硕士研究生招生考试调剂拟录取名单,和海天考研一起了解一下,记好各个考研专业进入复试的基本分数要求和复试比,公示后随时会删除嗷,记得收藏!

复试成绩查询时间为2026年4月13日—4月15日,在此期间考生可自行登录首都体育学院研究生信息管理系统(https://yz.cupes.edu.cn/#/enroll-login),查询本人复试成绩(小数点后保留两位,采用四舍五入法)。

1.png

2.png

3.png

1.此名单为拟录取名单,列入名单的考生须上报北京教育考试院和教育部审核备案,审核通过后方可列入我校2026年硕士研究生正式录取名单。

2.定向培养考生:按照教育部相关文件要求,拟录取为定向培养的考生应与首都体育学院、考生所在用人单位签订定向培养协议书,请未交协议书的相关考生于4月17日前补交给所属学院。请考生务必重视,勿因未按时提交培养协议而影响录取。

3.非定向培养考生:我校将向非定向考生发放调档函,请非定向培养考生确认知晓本人档案存放部门,确保调档工作顺利完成。请考生务必重视,勿因未及时调档而影响录取及报到。

4.硕士研究生复试体检与新生入学体检一并进行。体检不合格者,取消入学资格。

原文:https://gs.cupes.edu.cn/zsgz/zstz/e3b293934b70403da41313b167418f90.htm

更多27考研动态,持续更新ing,,还没有考研择校的同学可以参考一下!。提前理清备考思路,愿每位考研人,不负努力,不负时光,一战成硕!【海天考研集训营】,先试听再报班,适合基础不好或者二战考研的同学,明晰2027各科目题型考点,掌握快速答题技巧!

猜你喜欢

猜你喜欢

副标题