广州体育学院2026考研调剂拟录取名单

发表时间:2026-04-15 16:28

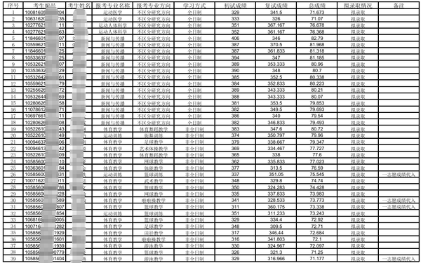
2027考研党注意了,考研择校重要的就是历年分数信息!广州体育学院公布2026年硕士研究生招生考试调剂拟录取名单,和海天考研一起了解一下,记好各个考研专业进入复试的基本分数要求和复试比,公示后随时会删除嗷,记得收藏!

1.png

2.png

公示期:4月13日至4月17日

调剂考生复试成绩请登录广体研考成绩查询平台查询

(https://grad.gzsport.edu.cn/index.php?s=index/category/index&id=129)

附件:广州体育学院2026年硕士研究生招生考试调剂考生拟录取名单公示

原文:https://grad.gzsport.edu.cn/index.php?s=index/show/index&id=839

更多27考研动态,持续更新ing,,还没有考研择校的同学可以参考一下!。提前理清备考思路,愿每位考研人,不负努力,不负时光,一战成硕!【海天考研集训营】,先试听再报班,适合基础不好或者二战考研的同学,明晰2027各科目题型考点,掌握快速答题技巧!

猜你喜欢

猜你喜欢

副标题